證券之星訊息租賃,根據天眼查APP-財產線索資料整理,根據國能鐵路裝備有限責任公司1月14日釋出的《鐵路裝備公司2026年本部辦公區房屋租賃專案》內容顯示,中國神華能源股份有限公司中標,詳情如下: 標題租賃:鐵路裝備公司2026年本部辦公區房屋租賃專案 採購方租賃:國能鐵路裝備有限責任公司 供應商:
觀點網訊:1月15日,匯添富基金管理股份有限公司釋出公告,旗下管理的匯添富上海地產租賃住房封閉式基礎設施證券投資基金,簡稱“匯添富上海地產租賃住房REIT”(程式碼:508055),擬申請擴募並新購入不動產專案租賃。 本次擴募擬新認購第2期資產支援專項計劃的全部資產支援證券,並最終投資於兩處租賃住房項
來源租賃:中國新聞網 全球首個機器人租賃平臺“擎天租”15日釋出的資料顯示,平臺自2025年12月22日在上海上線以來,三週內註冊使用者數突破20萬,日均租賃訂單穩定在200單以上,業務呈現加速增長態勢租賃。 同日,該平臺宣佈完成種子輪融資,由高瓴創投領投,復星創富、慕華科創、大豐基金及張江集團旗下具
投資界1月16日訊息,機器人租賃平臺“擎天租”(擎天租(上海)科技有限公司)宣佈已於近期完成種子輪融資租賃。本輪融資由高瓴創投(GL Ventures)領投,復星創富、慕華科創、大豐基金及張江集團旗下具身智慧公司共同參與投資。 擎天租於2025年12月22日在上海浦東正式釋出,由智元機器人、飛闊科技
2025年,A股市場上最火熱的概念莫過於人工智慧租賃。在政策加持、資源集聚的持續作用下,人工智慧產業正在以前所未有的速度成長,拉動各相關行業快速發展。目前,深圳人工智慧產業規模已突破3600億元,在廣東省佔比近四成,匯聚的企業超2800家,位居全國前列。 伴隨著人工智慧及其相關產業的快速發展,其辦公
巔峰時期慘敗於小山智麗,並非鄧亞萍職業生涯最大“汙點”,敗光二十億、換國籍赴海外當人上人才是移民。 她一邊做著球迷尊敬的“金牌解說”移民,一邊深受網際網路上的流言蜚語困擾,這麼多是是非非,究竟是真是假? 網傳她早就不是中國籍了移民,再撈一筆錢就要帶著孩子出國生活,面對這種言之鑿鑿的質疑,她又是如何回應
21萬、14萬、6萬眼鏡,三張存款單被老人藏在了貼身被子裡,老人去世後家人沒發現這個秘密,把被子帶到了殯儀館…… 三張共計41萬元的存單眼看就要隨著爐火化為灰燼,多虧界首市殯儀館物業員工王朝輝細心發現了這個“秘密”眼鏡。 經過“愛心接力”尋找,24小時內終於聯絡上存款單失主家人,而他們接到告知電話時
人民網北京11月7日電 (記者董兆瑞)11月7日,北京懷柔長城國際動漫谷發展論壇在懷柔區渤海鎮舉行動漫。活動匯聚國內外動漫領域頂尖大師、行業專家、企業代表及高校學者,透過實地考察、專案推介、合作簽約、高階對話等多元環節,為懷柔長城國際動漫谷的建設注入智慧動能。 論壇現場,北京懷柔長城國際動漫谷正式揭
誰也沒想到,昔日靠 “老百姓發家” 的閆學晶,竟然是一個 “瞧不起老百姓” 的人研究生。 “我怎麼能出生在這種地方”、“窮就是懶”研究生。最近一段時間,閆學晶詳細的詮釋了什麼叫 “端起碗吃飯放下碗罵娘”。 這場輿論風暴的導火索,是 2025 年末閆學晶在直播間的一番哭訴研究生。她對著鏡頭抹淚,直言兒
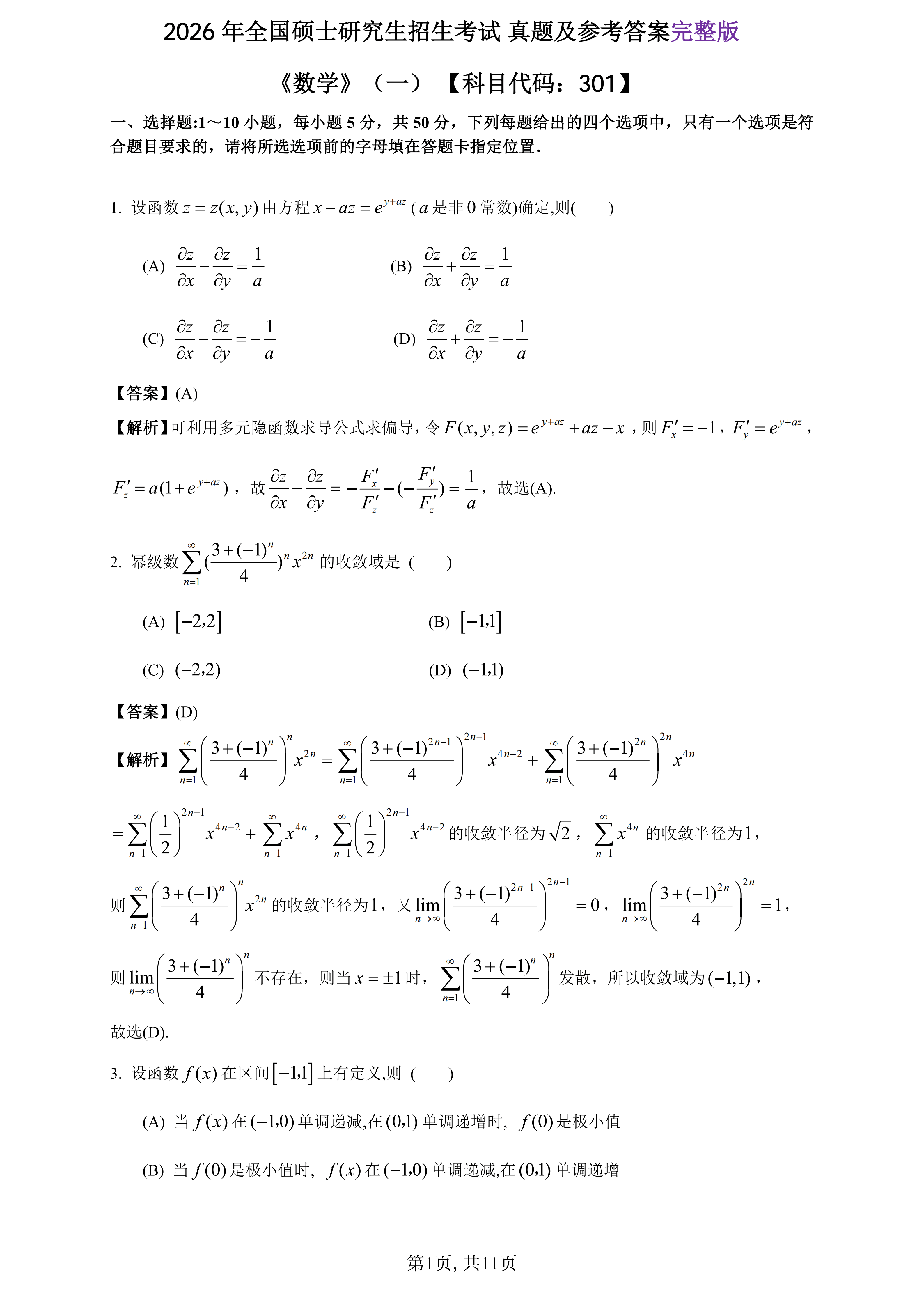
2026年全國研究生招生考試數學二落下帷幕研究生。本文將對其難度進行分析,同時提供2026年全國研究生招生考試《數學二》真題及答案解析(完整版),幫助大家提前應對接下來的複試調劑。 一、數學二分析 2026年數學二的整體難度較前幾年顯著下降,被譽為近年來,甚至是近十年來最簡單的一次,儘管被普遍認為簡
湖北男子歐某研究生,2020到2023年,專挑賣淫場所下手,揣著微型攝像頭、手機,偷偷摸摸裝進去,攢下大把偷拍素材,轉頭,他就把這些東西做成淫穢影片,足足9000多部! 一個人忙不過來,他找了個“幫手”——葉某研究生。葉某,武漢某規劃研究院員工,還是個研究生,放著正經工作不幹,偏要幫歐某剪影片,30
2026年考研數學一已落下帷幕,這次考試較好地延續了“偶數年”偏難的規律,並且在命題思路上體現出了幾個明確的新趨勢研究生。對於備戰2027年及之後的考生來說,深入分析這張試卷的特點至關重要。 一、數學一試卷呈現出三大核心特徵 1、難度“穩中有升” 整體符合“偶數年”難度較大的傳統預期研究生。命題更強
2020年至2023年,湖北男子歐某專挑淫穢場所(賣淫場所)下手,偷偷安裝微型攝像頭等裝置偷拍,製作淫穢影片9000餘部;武漢某規劃研究院的研究生葉某為牟利,幫其剪輯3000多部研究生。二人透過售賣影片各自獲利5萬餘元,最終均因製作、販賣淫穢物品牟利罪獲刑——歐某被判10年6個月,葉某被判8年6個月
中青報·中青網記者 範雪 在清華園,從高峰時段的共享單車需求,到路面平整、羽毛球場使用、路燈照明……同學們日常生活中的點滴,始終被關注與傾聽研究生。2025年3月起,清華大學研究生會推出了“一圖讀懂”生活訴求反饋渠道,由校研究生會生活部負責,定期梳理同學們提交的訴求,並與學校相關部處積極溝通。同時,
“媽媽考研!媽媽!” 監控裡那聲撕心裂肺的哭喊,像針一樣扎進了每一個網友的心裡考研。 湖南9歲女孩跟著媽媽遊玩一天後,卻在父親住處樓下追著媽媽的背影倒下,最終因心源性休克離世的訊息,剛曝光時就炸了全網,所有人都在罵媽媽“冷血跑路”,可隨著舅舅發聲、聊天記錄流出,事件突然反轉,背後的真相遠比我們想象的